top of page

Contributi 2020

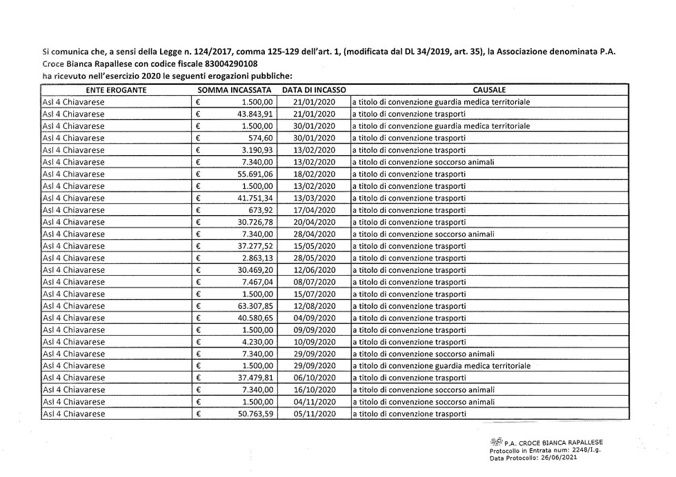
Si riporta in formato originale i files relativi ai contributi dell'anno 2020 ai sensi della legge 124/2017 comma 125-129 dell'articolo 1 (modificata dal dl 34/2019, art.35).





Commenti


Hai bisogno di informazioni? Contattaci

Info generali, Volontario Vacanze, Protezione Civile, Soccorso animali,

Guardia medica, Guardia medica pediatrica e prenotazione servizi.

Croce Bianca Rapallese

Piazza Cile 5 Rapallo (GE)

Codice Fiscale: 83004290108

  • Facebook
  • Instagram
  • Linkedin

Sede: 0185 230000

Ambulatorio: 0185 1840071

www.crocebiancarapallo.com

CONTATTACI

© Copyright
bottom of page